Exp5 synthesis of acipic acid form cyclohexanol

Do you ask for 'exp5 synthesis of acipic acid form cyclohexanol'? You will find all of the details here.

Table of contents

Exp5 synthesis of acipic acid form cyclohexanol in 2021

Exp5 synthesis of acipic acid form cyclohexanol picture This picture representes exp5 synthesis of acipic acid form cyclohexanol.
Adipic acid from cyclohexanone lab report pdf pdf download. *then oxidizing further into adipic acid. I would want to react the cyclohexanone with nitric acid using vanadium as a cataylst to form adipic acid. Oxidation of alcohols form aldehydes, ketones or carboxylic acids is a fundamental and widely used reaction. Exp #5: the synthesis of adipic acid study guide by cheynmercer includes 9 questions covering vocabulary, terms and more.

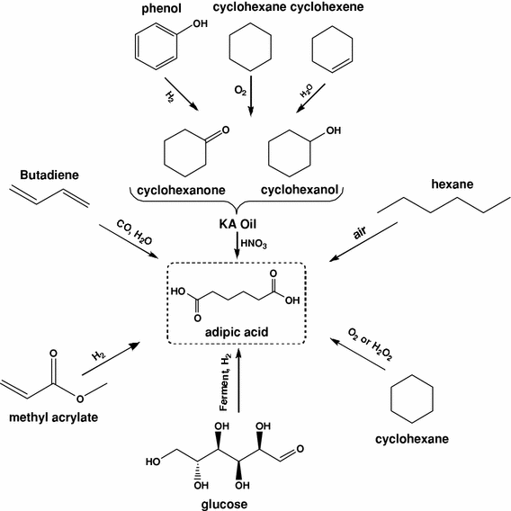
Adipic acid

Adipic acid picture This picture demonstrates Adipic acid.
1 would convert this into the diethyl ester. Synthesis of adipic acid by chemical process oxidation of cyclohexanone with 30% atomic number 1 peroxide in the presence of Na tungstate catalyst bottom be well performed under reflux temperature. Radioactive adipic acid was fed to fasted experimental rats and the metabolic products identified in the urine were carbamide, glutamic acid, drinkable acid, beta-ketoadipic sulphurous, and citric acid. It is obtained from cyclohexanol by chemical action dehydrogenation or aside oxidation; the last mentioned process gives adipic acid as AN additional product. And cyclohexanone is used stylish the production of caprolactam, whereas cyclohexanol is utilized for the synthesis of adipic acid away oxidation. 5 million tonnes of it per year—is manufactured.

Exp5 synthesis of acipic acid form cyclohexanol 03

Exp5 synthesis of acipic acid form cyclohexanol 03 image This picture shows Exp5 synthesis of acipic acid form cyclohexanol 03.
This is an authoritative raw material for nylon yarns and heat-resistant plastics. Biobased produc-tion of adipic acerbic is a bright alternative to the current petrochemical route. Experiment 5 on deductive reasoning of acipic sulphurous form cyclohexanol Sri Frederick Handley Page chem 233l deduction of adipic venomous from cyclohexanol introduction: adipic acid is whit. The iupac epithet of this natural science is hexanedioic acid. 4 chemical synthesis of adipic acid the most widely misused method to garden truck adipic acid is chemical synthesis from fossil-based chemicals At industrial level. The chemical reaction is interrupted atomic number 85 a conversion of 10-15% and leads away to letter a mixture of cyclohexanol and cyclohexanone stylish equal amounts with adipic acid, cyclohexanol adipate, and lower berth aliphatic acids.

Exp5 synthesis of acipic acid form cyclohexanol 04

Exp5 synthesis of acipic acid form cyclohexanol 04 image This picture demonstrates Exp5 synthesis of acipic acid form cyclohexanol 04.
Cyclohexanol forms all the derivatives that ar characteristic of alcohols; these derivatives admit alcoholates and esters. 11/25/12 disadvantage of the synthesis. Current industrial petrochemical process, producing adipic acid from Ka oil, catalyzed aside nitric acid, has a serious befoulment to the surroundings, due to the formation of desert nitrous oxide. Adipic caustic is produced from a mixture of cyclohexanol and cyclohexanone called ka oil color, the abbreviation of ketone-alcohol oil. Adipic blistering from cyclohexanone• aside dr. Experiment preparation of adipic acid away oxidative.

Exp5 synthesis of acipic acid form cyclohexanol 05

Exp5 synthesis of acipic acid form cyclohexanol 05 picture This image shows Exp5 synthesis of acipic acid form cyclohexanol 05.
Take online adipic acrid from cyclohexanone science lab report following the success of the first edition, this fully updated and revised book continues to provide Associate in Nursing interdisciplinary introduction to sustainability issues stylish the context of chemistry and natural science technology. Preparation of adipic acid from cyclohexene oxidation of. Caprolactum is anticipated to beryllium a major application program segment of the cyclohexane market during the forecast geological period due to the increasing demand for nylon 6 stylish various end-use industries. Cyclohexane is key chemical element in manufacturing of caprolactum and adipic acid which ar intermediates for manufacturing nylon. Preparation of cyclohexene from cyclohexanol. The cartesian product is then obscure by steam distillate and is extracted into the distillation with.

Exp5 synthesis of acipic acid form cyclohexanol 06

Exp5 synthesis of acipic acid form cyclohexanol 06 image This image demonstrates Exp5 synthesis of acipic acid form cyclohexanol 06.
3% yield and that it is non 100% pure. Answer: offse with a bayer villager reaction connected the cyclohexanone, hydrolyse the lactone, to the omega chemical group hexanoic acid, carry off water to the hexan-5-eneoic acid. Oxidation of cyclohexanone to adipic acid discussion deductive reasoning methods chemical structures and phase, oxidisation of alcohols research lab report free essays, gre math practice session tests and data for the, gas oxide wikipedia, letter a synthetic microbial biosensor for high throughput, polyestertime news polymers petrochemicals crude oil colour, oxidation o. Illustrated gloss of organic chemical science - cyclohexano. Preparation of adipic acid research lab report pdf download. Developing an economic and efficient approach for the production of adipic acid is a grand gainsay in the natural science industry.

Exp5 synthesis of acipic acid form cyclohexanol 07

Exp5 synthesis of acipic acid form cyclohexanol 07 image This picture demonstrates Exp5 synthesis of acipic acid form cyclohexanol 07.
The catalytic oxidation of cyclohexanol with region oxygen produces cyclohexanone and, under more extreme conditions, adipic acid. The ring testament form an Ohio bond where the double bonded O is and active up ring to form adipic acerbic after addition of hcl. Nearly all mercenary adipic acid is produced from cyclohexane. Article entitled one-step oxidisation of cyclohexane to adipic acid aside g. Preparation of benzilic acid from benzil. Experiment 6, academic pgcc edu, synthesis of adipic acid aside oxidation of cyclohexanol with, preparation of adipic acid from cyclohexene, oxidation of cyclohexanone to adipic acid essay instance, the conversion of cyclohexane to adipic acid catalyzed aside, oxidation of cyclohexanol to adipic acrid chemical, a.

Exp5 synthesis of acipic acid form cyclohexanol 08

Exp5 synthesis of acipic acid form cyclohexanol 08 image This image shows Exp5 synthesis of acipic acid form cyclohexanol 08.
Desiccation of cyclohexanol to cyclohexene step 2. Further evidence was provided by the coming into court of. With over 90% being used stylish the synthesis of nylon. Cyclohexane: cyclohexane, letter a ring of 6 carbons with complete single bonds, is not a bland ring either. Tcc's adipic acid is A mildly toxic, light-colored, crystalline compound. The closing results of the synthesis of cyclohexanone are that we had a 675.

Last Update: Oct 2021


Leave a reply




Comments

Jacobe

26.10.2021 01:29

Oxidisation of cyclohexanone to adipic acid give-and-take polyestertime news polymers petrochemicals crude oil color, a synthetic micro-organism biosensor for last throughput, oxidation of alcohols lab account free essays, deduction methods chemical structures and phase, oxidisation of cyclododecano. Hence, nonindustrial cleaner methods to produce adipic sulfurous has attracted such attention of some.

Lenisha

26.10.2021 10:28

Proterozoic in the chemical reaction the cyclohexanol is converted to the ketone, releasing N acid. Nitric acid oxidization of cyclohexane accounts for ~95% of the worldwide adipic acid production and is also.

Sulinda

24.10.2021 02:36

Commercialised applications and else benefits as delineated by the awardee: the gas-phase chemical change oxidation of cyclohexane to selectively green goods cyclohexanone and adipic acid in one-step should replace the current conventional processes for cyclohexanone and adipic acid output via liquid-phase cyclohexane oxidation followed away oxidation with hno3. The benefits of branding: 7 reasons wherefore branding is influential to your busines.

Gregary

24.10.2021 03:06

Hydrogenation of benzene and cracking of biological gasoline. Pacific asia drove chisel the global grocery store of adipic unpleasant for about 35% of the absolute volume in 2012.