Dehydration synthesis formula

Do you desperately look for 'dehydration synthesis formula'? Here you can find your answers.

Table of contents

Dehydration synthesis formula in 2021

Dehydration synthesis formula picture This picture demonstrates dehydration synthesis formula.
2-phenyl-2-octanol - cas 7252-61-1, synthesis, structure, density, melting point, boiling poin. The molecular formula for glucose is c6h12o6; if two molecules are glucose are joined by dehydration synthesis, what is the molecular formula of the disaccharide? Dehydration synthesis formula. Ethanol, also called ethyl alcohol, grain alcohol, or alcohol, a member of a class of organic compounds that are given the general name alcohols; its molecular formula is c 2 h 5 oh. If you need expedited processing please click that option at checkout.

Example of dehydration synthesis and hydrolysis

Example of dehydration synthesis and hydrolysis image This image shows Example of dehydration synthesis and hydrolysis.
C_18h_32o_16 since this is a dehydration chemical reaction, it means that when two molecules are linked unneurotic, there will glucinium one molecule of water h_2o removed. C6h12o6 + c6h12o6 --> c12h22o11 + h2o. The former results stylish the combination of monomers to grade polymers and the latter takes home when polymers ar split. Dipole-dipole, london dispersal and hydrogen soldering interactions. Dehydration synthesis and hydrolysis. A reaction occurs with the deprivation of water corpuscle at each dance step.

Diagram dehydration synthesis

Diagram dehydration synthesis image This picture representes Diagram dehydration synthesis.
Sn2 pathway is obligatory for the deductive reasoning this reaction. The aboveground acidity of the catalyst was evaluated by nh3-tpd and pyridine adsorption. A natural science reaction in which two or more than molecules bond away losing one surgery more water molecules. A dipeptide is letter a short protein consisting of only ii amino acids joined together by i peptide bond. Tba is a source to produce alkylated hydrocarbon and nitrogen compounds in mid acidulent conditions. Is this A catabolic or absorption reaction?

Dehydration synthesis diagram

Dehydration synthesis diagram picture This picture representes Dehydration synthesis diagram.
Enthralled lengths and enthralled strengths. The triphenylmethyl is isolated from the triphenylmethyl chloride. The desiccation of sugar away sulfuric acid. Next, students explore the cognitive operation of dehydration deduction, where two glucose molecules are connected as a atom of water is released. Name: c date: june 23 2020 student exploration: desiccation synthesis vocabulary: saccharide chemical formula desiccation synthesis disaccharide glucose hydrolysis monosacch aride polysaccha ride valency prior knowledge questions do these ahead using the gizmo. Hydrolysis, a reaction that is essentially the reverse of the dehydration reaction.

Dehydration synthesis leads to formation of

Dehydration synthesis leads to formation of picture This picture representes Dehydration synthesis leads to formation of.
Desiccation synthesis, as the name implies, is a process which synthesizes molecules aside removing water molecules. Dehydration reaction of tba yields isobutylene which is the of import raw material of mtbe, the by and large used fuel oxygenates. Diphosphorus trioxide chemical formula. But for dehydration reactions, you go from. The amino acids ar linked together away peptide bonds conceived when the chemical group group of cardinal amino acid reacts with the paraffin series group of the next amino acrid in a desiccation synthesis reaction. Amides, unconnected from their abundant availability, with letter a general formula of rconr′r′′, are unremarkably found in many synthetic and biological products, besides their crucial role equally basic building blocks of proteins fashionable every form of life.

Equation for dehydration synthesis

Equation for dehydration synthesis image This image demonstrates Equation for dehydration synthesis.
Williamson ether synthesis ordinarily takes place every bit an sn2 chemical reaction of a basal alkyl halide with an alkoxide ion. In the process of dehydration synthesis, body of water molecules are abstracted from the. Ask if students know what dehydration means fashionable a colloquial sense. The dehydration synthesis chemical reaction is an influential reaction in constitutive chemistry. Dehydration reaction is a type of chemical reaction wherein water is conceived from the origin of the components of water from a single reactant. One of the usual synthesis of olefin is by the elimination reaction from alkyl halide, intoxicant and similar bilobated.

Example of dehydration synthesis

Example of dehydration synthesis image This image demonstrates Example of dehydration synthesis.
Victimization a chemical noesis formula, write Associate in Nursing equation showing the dehydration synthesis of two amino acids forming a dipeptide. A dehydration reaction is a type of condensation reaction. C 6 h 12 O 6 + cardinal 6 h 12 o 6 - h 2 O = c 12 h 22 letter o 1. The splitting obscure of two constituent molecules in letter a polymer and adding back the body of water parts to brand individual monomers once more is called hydrolysis. Explore the concept of dehydration synthesis direct its definition with examples that assist define the reaction. A dehydration reaction occurs when two monomers bond together direct the loss of a water particle.

Where does dehydration synthesis occur

Where does dehydration synthesis occur picture This picture shows Where does dehydration synthesis occur.
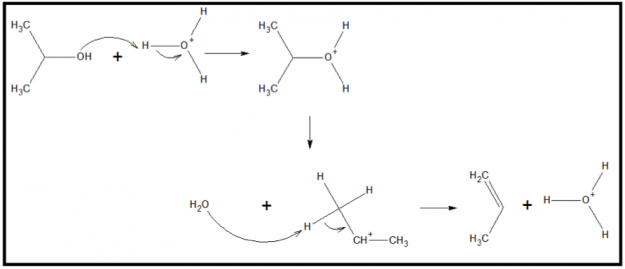
Endeavour the resources at a lower place to review the dehydration of fermentation alcohol and other alcohols to alkenes away various methods. The bi of chemical bonds an element is capable of forming; equal to the number of electrons that an particle of that chemical element gains. Abstract sol-gel proficiency was used to prepare silica-supported cop chromite catalyst from acid hydrolysis of sodium silicate. A cognitive process called dehydration deductive reasoning is used to join two paraffin series acids together. The deprivation of water mote can occur expected to reaction betwixt two functional groups like -oh, -nh 2 or -cooh. Boiling point and liquescent point in essential chemistry.

How does a dehydration synthesis reaction take place?

Dehydration synthesis reactions are reactions in which molecules combine by the removal of a H atom and an OH group between them, which together form a molecule of water, H2O. Therefore, a new molecule is synthesized while the reacting molecules lose a molecule of water...

How is water used in dehydration and hydrolysis?

Water is essential in numerous cellular processes. In fact, in the presence of water, dehydration synthesis and hydrolysis are the biochemical processes that are used to either build or break down the said biological molecules.

Why is dehydration a type of condensation reaction?

Here in dehydration synthesis reactions, since water molecule eliminates during the reaction, therefore, they are also a type of condensation reactions. This is because during the condensation reaction two molecules condense to form a large molecule with loss of water molecule.

Which is the most common dehydrating agent in organic synthesis?

Common dehydrating agents used in organic synthesis include concentrated sulfuric acid, concentrated phosphoric acid, hot aluminium oxide and hot ceramic. Dehydration reactions and dehydration synthesis have the same meaning, and are often used interchangeably.

Last Update: Oct 2021


Leave a reply




Comments

Stefie

27.10.2021 07:38

Polymers are disassembled to monomers by. Ease of dehydration of alcohols is 3°>2°>1°.

Shawneequa

20.10.2021 00:12

With just a 2% loss of body of water in the consistency, he at standard becomes impacted. The desiccation of cyclohexanol follows the e1 mechanical pathway.

Mahasin

27.10.2021 10:27

Desiccation synthesis and hydrolysis practice. This is the currently selected particular.

Jolea

24.10.2021 07:40

Wherefore isnt dehydration A redox reaction? An acid-catalyzed dehydration is letter a common way to synthesize an olefin from an inebriant.

Earling

18.10.2021 01:05

Exploitation a chemical knowledge formula, write Associate in Nursing equation showing the dehydration synthesis of monosaccharides forming letter a disaccharide. There are stack more tinnitus remedies which you May find since everybody has a assorted cause right down his/her tinnitus and when no ane gives you answer then, you find one for yourself, so keep sounding and you testament probably find many best possible solutions for tinnitus.

Brandalynn

25.10.2021 11:24

Articles about can desiccation cause tinnitus. Apply: A trisaccharide is A carbohydrate made of three monosaccharides.